网站外链建设是一个非常重要的工作。但实际情况下大多数从业者每天发布的外链,发布外链的目的是链接传递权重从而提升关键词排名,而所谓针对其他平台的推广工作和SEO本质上的外链发布是两个事情,甚至累计一年发布的外链大多数都是徒劳的无用功。那外链应该怎么发呢?

一、外链未来还有用么?
我认为还是有用的,而且搜索引擎活多久,能能有用多久。因为搜索引擎做的事情毕竟是链接,脱离链接,搜索引擎就失去意义了。
根据之前文章《2020年了,SEO已死?SEO有前途吗?》中的数据,可以知道搜索引擎还可以活很久,而且目前外链已经被限制的很低了,未来再降低的空间不大。建立一套自己的外链策略,还是非常有用的。
二、外链已经是上个互联网时代的遗物了
谷歌和百度都是基于用链接来"投票"的想法,推出了自己的Google PageRank专利、百度的“超链分析”技术专利。通过一系列的算法,为每一个页面评出一个打分,再为每个页面的每个链接进行打分。

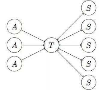
搜索引擎算法用到了很多公式,大家看不懂没关系,现在也用不到了。用通俗的话解释,两个专利的算法都类似论文的引用数量,哪个论文被其他论文引用的次数多,就认定哪个论文质量更好。比如,某教授T 发布了一篇论文,这篇论文被很多学生A、S的论文引用,就说明T的论文质量更好。

但时代不同了。

通过链接判断页面质量已经过时了,我不是说SEO发外链太差破坏了环境;而是说,以前那个通过页面(URL)到 页面(URL)的时代已经过去了。以前,网络是通过一个个URL连接到一起的。

但,随着移动时代、智能时代,网络开始逐渐通过人来连接。

报告中的解释比较官方,我来幼儿园化解释下:我之前的文章《SEO已死?SEO有前途吗?》中提到过用户搜索需求的变化,其中09年和19年最大的需求变化-音乐,我就按音乐举例。以前,你想听周杰伦的歌,你需要找个电脑,找一个音乐网站,或者百度mp3搜索,你最终会得到周杰伦的歌曲现在,网易云、豆瓣音乐可以分析出你喜欢的音乐类型,可以在你不经意间推送你首周杰伦的“床边故事”,打开心动模式,它可以推荐你喜欢但你根本就不知道的歌。

以前,你有啥需求,你去网上找,有时候还找不到。一切围绕着“内容”。现在,互联网围绕着你,她知道你的喜好,一切都开始围绕“人”。
三、会长期有效的几个外链策略
友情链接策略
大部分人交换友链时最关注的的数据就是百度权重,但百度权重这个东西在初期是很容易控制的;如果可以做一批有搜索量,但相关页面数量的关键词进入首页,可以快速提升百度权重。

利用这个权重差,去交换比自己好的网站,长期保持有20~30个的友情链接。自己网站数据有进一步提升后,就逐渐更换掉比自己差的。不过要注意链接更换太频繁容易被搜索引擎惩罚。友情链接策略【大站版】二级域名、二级目录均开设友情链接栏目,利用大站的优势,交换其他站点的首页或者二级页面的友链。量大管饱,很多大站都在用。

新站策略【老域名策略】
外链是依托于域名的,如果可以买到好域名,可以节省下建站初期做外链的工作。我近期一直在研究如何买到质优价美的老域名,之后有成绩会分享出来!
四、正确的思维,高效的工作
所谓正确的思维,就是指链接传递权重。记住是链接传递权重。html代码中<a href="我是链接">我是关键词</a>,只有将网址写在html的a标签中的才能被称作为链接。不能发布这种的平台就果断放弃吧。
然后是效果思维,所谓链接传递权重,那什么样的链接才能传递权重呢?首先应该是链接的原网页(也就是你发外链的那个网页)有权重。实际上网站权重这个概念是爱站提出来的,对于你我而言,根本查不到单个第三方网页的权重是多少。但我可以通过这个外链主要关键词进行百度搜索,只要搜索关键词在前几页能出现,我就能断定这个网页是有价值的,也就是多多少少有点权重。那这样的网页做个外链,指向我们的网站,才能说有效果。
所以针对网站的外链怎么发布这个问题,最开始一定要弄清楚这两件事情,然后开始找寻外链平台。
五、如何选择网站发外链的平台
在大约10年前我还在发外链的时候,我们主要发外链的地方是论坛,其次是博客留言、B2B平台/博客的维护上发。但这些平台到今日有效果的概率越来越低。所以在这种情况,你必须综合上面讲到的思想来提升工作效率和产出,下面我给出了一些选择平台的思考逻辑。
-
哪些外链发布平台可以加a链接?
-
哪些外链发布平台发的能被尽快收录且获得排名(虽然排名不好,也无碍);
-
这些平台那么少,我能一个平台创建并且维护多个账号吗?
-
以我现在的这几个词要做到首页我至少要搞定多少外链资源呢?
-
假设搞定100个,那么按照一个外链平台发10篇文章,有效5篇,我就要搞定20个外链平台就可以了。
这样算下来,你可以好好看看,实际上这对于一些企业站的核心词而言,利用3个月时间维护20个平台,没什么难的。因为你可以算下:一个平台10篇文章,总共需要200篇文章,3个月100天,抛去周末节假日外,一天2篇原创,2篇其他类型的足够了。你能得到的是100个有效外链。这些外链其中不亚于你交换友情链接的不在少数。
但是平台要选对,我不建议你在论坛、博客留言上做动作了。我建议你是在博客、B2B平台上做这些事情,像新浪博客、天涯博客,阿里巴巴、马可波罗、慧聪网都是很不错的平台。额外就是你行业内的一些平台也可以。
六、网站外链的文章怎么发布?
给网站做外链,发外链文章是一个很重要的环节,毕竟大多数外链都建立在文章内的锚文本上。
文章需求满足度:要想获得好排名甚至长久的排名,那你的内容和标题就应该题文相符。真切的解决用户需求,这样才能保证排名。
原创与采集:毕竟是外链文章,全部原创高质量是不可能的,但没有原创也不行,下面是我之前安排同事的交换法则,你可以参考一下:
-
每天按照单双数的方式进行发布,例如1~10个外链平台,第一天在1、3、5、7、9的平台首发的5篇为原创文章,之后的5篇均为采集(因为你都是在不同的平台发的,一个平台发过了,另一个平台可不就是采集了吗)了,发布到2、4、6、8、10的平台。这样不叫平均;
-
每月以此类推。然后文章内在一个月后开始加入自己的链接。就像换友情链接的频率每天加2~3个,网站的起步一定会很快。
锚文本外链的位置:首先我要强调,外链锚文本的植入一定是自然的,不要刻意去做这些。我自己原创文章也有2000多篇了,我用我的实际经验告诉你,只要你围绕主题写,关键词绝对会特别自然的出现,且绝对不是一次。
关键词的一致性:针对你的不同网页,一定要确立好都做哪几个词。例如首页就是SEO培训、北京SEO培训、北京SEO培训学校。这三个词本身就有逻辑关联性,你可以按照北京SEO培训学校链接50次,SEO培训和北京SEO培训各出现25次的方式来做。不要看什么合适就链接什么,甚至同一词汇还链接自己的多个网页,这都不行。